29 September 2025
As I mentioned in the previous post, Everything you ever wanted to know about the gut microbiome, but were afraid to ask, I spent last week doing a five-day water-only fast. This was my second planned fast, as opposed to ad hoc fasting for acute illnesses like colds and gastroenteritis. Whereas the first one (which you can read about at My fasting adventure) was for a very specific purpose – accelerating tissue healing after a minor surgical procedure – I had somewhat more general intentions for this one.
As I edge ever closer to my mid-50s, I’m becoming more acutely aware of the poor standard of health that most midlife and older adults seem to accept as ‘normal’. On the rare occasions that I see a GP, they express surprise that I’m not on any medications, I have a teenager’s blood pressure, and I’m fit and have no issue whatsoever with joint aches and pains. In our society, it’s considered totally normal to be obese and drugged for at least one chronic condition by my age, and to go on accumulating diagnoses and prescriptions with each passing decade.
In my family of origin, I’m a complete freak. Both branches of my family tree are festooned with type 2 diabetics and hypertensives. Not one of the 14 members of my parents’ generation has made it into their 90s in sound mind and good health; instead, heart attacks, strokes, dementia, lifestyle-related cancers and frailty-related fractures have either snuffed out their lives prematurely or severely impaired their quality of life. No thank you; I have no intention of following this path.
So, if I’m already eating a healthy wholefood diet, getting daily exercise, and ensuring I get enough good-quality sleep and sensible sunshine exposure…
Why do a prolonged water-only fast?
People undertake prolonged therapeutic fasting (meaning abstaining from all food and beverages except water for a period longer than 24 hours, for non-religious/spiritual purposes) for a wide variety of reasons including:
1. Tissue healing and repair
As mentioned, I undertook my previous fast to facilitate post-surgical healing – which worked brilliantly, as my surgeon attested. During a prolonged fast, inflammatory mediators initially rise, but then decline dramatically during the post-fast period. It may seem alarming that inflammation increases during a fast, until you realise that acute inflammation is actually crucial to the healing response. In order for a cut in your skin to begin to heal, or a fractured bone to start knitting up again, or for your immune system to defeat an infection, a well-controlled burst of inflammation is required.
If that acute burst of inflammation becomes dysregulated, or fails to achieve its ends, the stage is set for chronic inflammation. Disease conditions as diverse as rheumatoid arthritis, coronary artery disease and chronic hepatitis are all characterised by chronic inflammation – a smouldering low-grade inflammation that causes ongoing tissue destruction and escalating metabolic dysfunction.
(As an aside, this is why it’s such a bad idea to take a non-steroidal anti-inflammatory drug such as ibuprofen or diclofenac for the pain associated with muscle strains, ligament sprains and bone fractures – these drugs may actually impair healing and put you at increased risk of future injuries.)
No wonder, then, that prolonged water-only fasting is so effective at reducing joint pain, swelling and stiffness in rheumatoid arthritis, and why fasting during a bout of acute infection like a cold or flu truncates the illness and speeds up recovery. By abstaining from food, and securing adequate rest, you’re allowing the inflammatory response to do its job, so that it can be turned off.
Another hallmark of fasting that facilitates tissue repair and healing, and the resolution of chronic inflammation, is the increased number of macrophages. Macrophages are a type of white blood cell that engulfs and digests pathogens, and cleans up cellular debris that can otherwise trigger chronic inflammation.
Put simply, when you abstain from food and all caloric beverages, you unleash a powerful healing response that efficiently defeats infection, puts injury repair on the fast track, and shifts chronic inflammation into an effective acute inflammatory response that resolves the ineffective and damaging chronic inflammatory milieu.
2. Metabolic benefits
To comprehend the metabolic benefits of fasting, you first need a basic understanding of how the body’s metabolism changes during a prolonged fast. These changes are consistent and well-characterised, thanks to pioneering research on human volunteers conducted in the 1950s and 60s.
Fasting metabolism 101
Phase 1: Glucose utilisation (4-6 hours after finishing eating)
After the final pre-fast meal, starches and sugars from that meal will be digested and transformed into glucose. The rising blood glucose level prompts the pancreas to secrete the hormone insulin, which allows cells to absorb and utilise glucose. Most cells in the body readily use glucose for energy production; the heart can utilise glucose but prefers free fatty acids, and the liver uses glucose when it is abundant but rapidly switches to other fuels derived from fats and proteins, as the blood glucose level declines, in order to conserve that precious glucose for other tissues that need it – especially the brain, which is heavily dependent on glucose, and the red blood cells, which cannot utilise any fuel source other than glucose. The liver and muscles both convert glucose into glycogen (‘animal starch’) for storage.
Phase 2: Glycogenolysis and gluconeogenesis (6-24 hours)
As the blood glucose level drops, typically four to six hours after a meal, the pancreas will switch from secreting insulin to glucagon. This hormone prompts the liver to convert glycogen back into glucose, and release it into the bloodstream in order to maintain the blood glucose level. The liver also begins to turn other molecules (amino acids from proteins and glycerol from triglycerides [blood fats]) into glucose, a process known as gluconeogenesis. The muscles also convert their stored glycogen back into glucose, but they hoard it for their own use rather than sharing it with other tissues, thus sparing the precious blood glucose for those tissues that are heavily dependent on it. And finally, glucagon prompts adipose (fat) tissue to release fatty acids and glycerol into the bloodstream; the free fatty acids are readily taken up and utilised by energy-hungry tissues like the muscles and liver, once again sparing the now-dwindling supply of glucose for the brain and red blood cells.
Phase 3: Gluconeogenesis (24-48 hours)
Within 24 hours, the liver’s glycogen stores are depleted, and gluconeogenesis becomes the dominant metabolic pathway furnishing glucose. The kidneys also escalate gluconeogenesis, to assist the liver in maintaining that all-important glucose supply. Eventually, the kidneys’ production of glucose through gluconeogenesis exceeds that of the liver. And in the meanwhile, adipose tissue continues to break down its stored triglycerides into free fatty acids and glycerol.

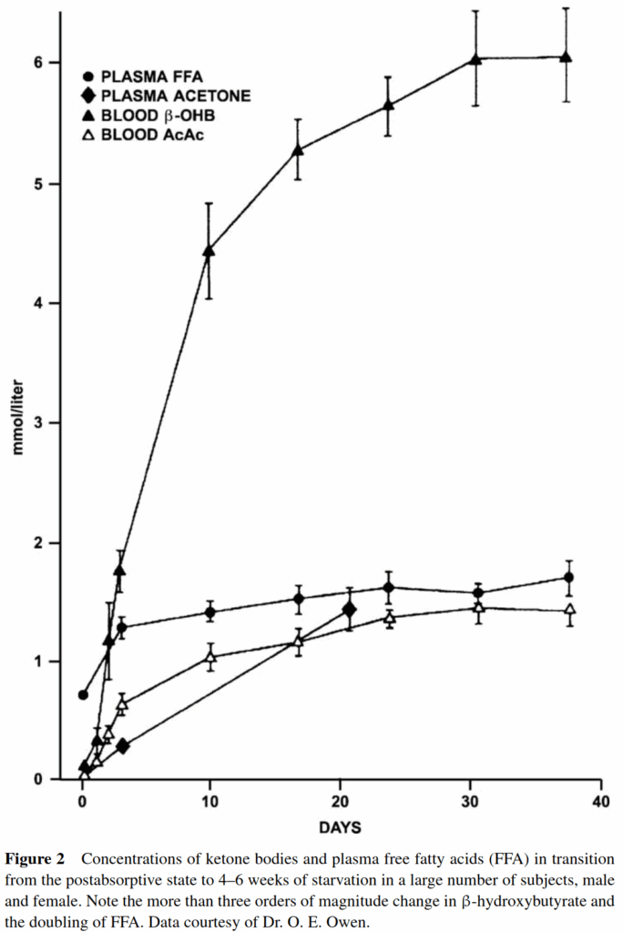
Phase 4: Ketogenesis (48 hours to 5-7 days)
After roughly 48 hours, the amount of fatty acids entering the liver exceeds its capacity to oxidise for energy production. Now the liver begins to convert these fatty acids into ketones (also known as ketone bodies): acetone, acetoacetic acid and beta-hydroxybutyrate. Ketones can now be detected in the urine, with levels rising faster in lean than obese people.
The liver itself cannot utilise ketones, so it releases them into the bloodstream, for uptake by other tissues. Only the red blood cells and the medullary cells of the kidney cannot utilise ketones as a fuel… but one tissue that can is the energy-hungry brain. By approximately four days into the fast, the brain begins to utilise ketones, in particular beta-hydroxybutyrate. Ketones suppress hunger, so once ketone production has ramped up, most people feel much less uncomfortable.

Phase 5: Ketosis (from 5-7 days to end of fast)
With glucose now in short supply, the brain rapidly switches over to ketones as its primary energy source. Once ketone production exceeds glucose production from gluconeogenesis, individuals enter steady-state fasting, which they will remain in until they either terminate the fast, or run out of stored body fat and begin to starve (which takes months, even in lean people).
This major metabolic switch from glucose to ketone utilisation, especially by the energy-hungry brain, spares precious body proteins from being broken down for gluconeogenesis. However, the brain cannot run on ketones alone; it still requires about a third of its energy to be provided by glucose. Between this, and the complete dependence of red blood cells on glucose, around 80 g of glucose must be produced through gluconeogenesis per day; part of this requirement is met by glycerol from triglyceride breakdown, while the remainder is drawn from catabolising body proteins including muscle.

With that brief introduction to fasting metabolism out of the way, let’s take a look at…
The effects of prolonged fasting on metabolic health
Unsurprisingly, water-only fasting causes weight loss. Part of that is water weight: in addition to natriuresis, or accelerated dumping of sodium in the urine, each gram of glycogen is stored with three or more grams of water, so as glycogen is depleted, its accompanying water is released and urinated out. This water weight is, of course, rapidly regained once the fast is terminated and glycogen reserves rebuilt.
However, not only is body fat lost during the fast, but as long as a healthy, wholefood plant-based diet is consumed after breaking it, accelerated fat loss continues for at least six weeks post-fast. And even more crucially, fasting targets visceral adipose tissue, the fat stored deep in the abdominal cavity. An excess of visceral adipose tissue causes impaired glucose and lipid metabolism, insulin resistance, and even increased risk of cancers of the colon, breast and prostate.
In a study of 29 participants with an average BMI in the obese range (31.1 kg/m2) who completed a water-only fast with median length of 14 days, followed by a progressive refeeding program, and were then followed up after six weeks of eating a wholefood plant-based diet, before-and-after dual‐energy X‐ray absorptiometry (DXA) scanning showed a median 14.7 per cent reduction in total fat mass and 15.8 per cent reduction in visceral adipose tissue:

Crucially, the dip in lean mass (which comprises muscle and bone) that occurred during the fast, due to loss of glycogen and accompanying dehydration, was completely reversed in the post-fast period. In fact, participants had increased their lean mass by an average of 2.5 per cent by the six-week follow-up visit.
As I discussed in Marketing perimenopause, for fun and profit, there are substantial changes in body composition in midlife women, that commence during perimenopause and continue for at least five years after the final menstrual period. Specifically, women lose muscle mass and gain fat mass, especially visceral fat. These adverse alterations to body composition contribute to the increased risk of cardiometabolic disease (metabolic syndrome, diabetes, fatty liver disease and coronary artery disease) that afflicts women in their later years.
With my rotten family history of cardiometabolic disease, optimising body composition and metabolic health is my principal goal. Want to see my results? Keep reading!
3. Breaking bad habits and restoring a sense of control
All religious and spiritual traditions that I’m aware of incorporate fasting practices, with the stated objective of enhancing one’s self-discipline. When you develop a clear intent to not eat for a period of time, and you follow through on that intent despite temptation, your sense of self-mastery increases exponentially.
For people struggling with food addiction, fasting (preferably in a controlled environment which completely removes temptation both during the fast and in the post-fast period) can act as a complete reset for their compulsive overeating. Likewise, I’ve observed that smokers and coffee addicts rapidly lose their desire for their ‘vices’ while fasting (after the initial withdrawal which can be intense!!), helping them unhook from these substances in a durable fashion.
Before my husband bought an espresso machine, I had drunk coffee less than once a month – usually, to keep myself awake on long road trips! But in the last few years, I’ve escalated to a cup a day, and increasingly I’ve found myself longing for that morning cup of joe in a way that I found disconcerting. I cut coffee out three days before commencing my fast, to ensure I didn’t start the fast with a searing caffeine withdrawal headache, and I also eliminated green tea, black tea and cacao. Fortunately, I skated through without any headaches at all.
4. Lowering elevated blood pressure
Prolonged water-only fasting followed by a wholefood plant-based diet free of added salt, sugar and oils/fats is an astonishingly effective and durable treatment for high blood pressure – both mild hypertension (Stage 1: systolic blood pressure [BP] 140 to 159 mm Hg, diastolic BP 90 to 99 mm Hg, or both), and moderate to severe hypertension (Stage 2: systolic BP 160 to 179 mm Hg, diastolic BP 100 to 109 mm Hg, or both; Stage 3: systolic BP > 180 mm Hg, diastolic BP > 110 mm Hg, or both).
Here are the results of 174 patients who began their fast with elevated blood pressure; note that the average blood pressure reduction achieved by antihypertensive monotherapy (i.e. a single blood pressure-lowering drug) is 12/6 mm Hg.

My own blood pressure tends to be on the lower side (typically 105-115/65-70 mm Hg) so I definitely wasn’t fasting to try to lower it; in fact, I was somewhat concerned that it might drop too low for comfort during the fast, at least temporarily.
5. Resolving other chronic health complaints
There are many other chronic conditions for which fasting can be incredibly effective. I highly recommend reading Can Fasting Save Your Life? by Toshia Myers and Alan Goldhamer. Goldhamer founded the TrueNorth Health Center in northern California in 1984, and since then has supervised over 25,000 prolonged water-only fasts, with a perfect safety record in terms of serious adverse events1.
6. Obtaining complete rest
Few people – me included – get much of an opportunity for a prolonged, deep rest. Since therapeutic fasting requires physical, emotional and mental rest to work its magic, electing to fast can function as the ‘permission slip’ that habitually busy people need in order to flick the switch to the off position for a while.
This is certainly the case for me. I don’t relax easily – just ask my husband! It’s not that I’m a particularly anxious or edgy person, I just have trouble sitting still without thinking of some task that I need to do. And since I have plenty of energy, I feel compelled to go and accomplish that task, right now. So setting a week aside to fast and then gradually refeed, gave me the excuse that I felt I needed to take a break from work, exercise, and all the usual household tasks, and just enjoy reading, journalling, soaking up the spring sunshine and napping. Bliss!!!!
So, what happened on my fast?
My fasting results
Weight and body composition
I used a Withings Body Comp scale to measure my weight, muscle and fat percentage and visceral fat index on each day of the fast, and the post-fast week. All body composition scales for home use are substantially less accurate than DXA, but the Body Comp is among the better-performing models.
Note that the visceral fat index ranges from 0 to 20; the lower, the better. In addition, the Withings scale calculates metabolic age, derived from estimated metabolic rate which in turn is based on body composition.
Also note that I am 167 cm tall.
| Day 1 of fast | Day 5 of fast | Day 7 of refeeding | |
| Weight (kg) | 59.3 | 54.5 | 55.0 |
| Muscle (%) | 74.1 | 74.7 | 79.1 |
| Fat (%) | 21.9 | 17.1 | 16.6 |
| Visceral fat index | 2.0 | 1.7 | 1.7 |
| Metabolic age | 48 | 47 | 45 |
The decrease in body fat percentage during and post-fast moved me from the ‘fitness’ to the ‘athletes’ category of the American Council on Exercise chart:

By the end of the five-day fast, my metabolic age was eight years younger than my chronological age – nearly nine, actually, since I’m rapidly closing in on my 54th birthday.
The Withings scale also estimates bone mass; my bone mass is 4 per cent which is at the top of the 2.5-4 per cent range considered normal in women.
Effects on appetite and cravings
I did not actually feel hungry during my fast, even in the first couple of days before appetite-suppressing ketosis kicked in. It was actually kind of fun to play around with my reactions to food. When I looked at the juicy oranges in the fruit bowl, or at my husband’s meals, I noticed I wasn’t really relating to them as food – merely as vaguely interesting objects that I had no real desire to consume.
Since resuming eating, my tendency to mindlessly graze (especially on healthy but energy-dense foods like nuts and dried fruit) when stressed or busy, has vanished. I’m eating less than before the fast, but enjoying it more. And I’ve had no desire for coffee and still haven’t resumed consuming it.
Blood pressure effects
My blood pressure did drop to a rather uncomfortably low level by day 4 of the fast (80/60 mm Hg), despite maintaining my hydration levels. I had to compensate for this by getting up very slowly from a resting position, and ensuring that I didn’t move too fast. It began ticking up to more normal levels after day 3 of refeeding, when I reintroduced steamed starchy vegetables (sweet potato pulled out of the garden, in fact!), and is now sitting around 105/70 mm Hg.
The reset effect
Before my fast, I had a vague sense of ennui. The endlessly-repeating weekly routine of work, household tasks and tending my vegetable garden and fruit trees was feeling a bit humdrum. I was also bored with my exercise routine. Taking a week off was like hitting the reset button. I couldn’t wait to get back to walking the dogs. My stale weight training routine felt fresh again, and I was excited that my strength and fitness came back very quickly. And my enthusiasm for work and gardening was renewed (although I can’t say I’m any keener on housework; fasting is not, after all, a cure-all).
All in all, I’m thrilled with the results of my fast and plan to repeat it each year. Next time, I hope to go a little longer – 7-10 days, if possible – to take full advantage of the metabolic effects.
Should you fast… and if so, where should you do it?
Not everyone is a suitable candidate for fasting. If you are on any prescribed medications, it’s best to taper off them before you fast by adopting a healthy diet and lifestyle, as drugs are potentiated by the fasting process. (There are some exceptions; for example people who need to take levothyroxine can reduce their dosage during the fast, and hypertensives can taper their blood pressure lowering medications during the fast provided they are under qualified supervision – see below.)
If you’re generally healthy and unmedicated, you’ll be able to fast safely at home for up to three days on your first time around, as long as you can secure peace and quiet. If you want to do a longer fast, or your home environment is too noisy and chaotic, or your health is poor, you should not fast at home. Instead, seek out an experienced fasting supervisor who can safely shepherd you through the process. I know I cope well with fasting, and I’m lucky enough to live in a peaceful rural setting, so I felt comfortable fasting at home for five days.
The US National Health Association maintains a list of physicians and allied health professionals who have undergone rigorous training in fasting supervision. I refer my Australian and New Zealand clients to Doug Evans, whom you’ll find on this list; Doug runs a small fasting centre in a beautiful bushland setting in the south of Sydney.
I hope I have piqued your appetite – pardon the pun – to learn more about prolonged water-only fasting, and prompted you to consider incorporating it into your health management plan. If you have any further questions about my fasting experience, or whether fasting might be right for you, let me know in the comments section below – and do read Can Fasting Save Your Life? by Toshia Myers and Alan Goldhamer, or listen to the audiobook.
Need help with getting your health back on track? Apply for a Roadmap to Optimal Health consultation today!
- Minor adverse events such as transient dizziness, headache, nausea and back pain are expected to occur in the majority of fasting individuals. ↩︎



