What can Flat Earthers teach us about the anti-seed oil crusade?
16 June 2025
A couple of months ago, I had my very first real-life encounter with a dedicated Flat Earther. I’ve come across such people in online spaces, but had never before met one in real life. I was at a rather large gathering of people, most of whom I didn’t know, and – this will shock you – I eventually gravitated to what was laughingly dubbed by the other guests ‘the conspiracy table’. I pulled up a chair and asked, “So what conspiracy are we discussing today? The JFK assassination? 9/11? Convid?” The Flat Earther took a long drag of his rollie, jerked his free thumb at the other two men seated at the conspiracy table, and replied, “I’m telling them about Flat Earth.”
“Them” happened to be a physicist and a computer engineer, so you might be able to imagine how entertaining the conversation became.
Flat Earther passionately insisted that large bodies of water show no curvature; Physicist replied that satellite images clearly show curvature; Flat Earther insisted that these images are manipulated and cannot be trusted.
Flat Earther declared that the notion that we are on a globe spinning at over 1000 kilometres per hour is ridiculous on its face because surely we would sense this motion; Computer Engineer patiently explained that just like we don’t feel like we’re moving at 100 kilometres per hour when we’re in a car hurtling down the highway because we’re travelling at the same speed as the car, we don’t feel the spinning motion because everything on Earth (and even above it, i.e. the atmosphere) is moving at the same rate; Flat Earther retorted that we’ve been lied to about everything, including this explanation.
I pointed out that Eratosthenes had used trigonometry to calculate the circumference of the Earth in the third century BC; Flat Earther countered that Eratosthenes had measured the diameter of the flat Earth, not the circumference of a spherical Earth; Physicist explained that if this were true then the sun would have to be much closer to Earth than astrophysics has demonstrated it to be and if it were that close, we’d all be fried to a crisp; Flat Earther replied that these calculations and suppositions are all bogus because they’re the product of the same corrupt institutions that have been lying to us about everything.
And so on and on it went. Flat Earther had obviously spent ungodly amounts of time and effort ‘researching’ all the arguments for the Earth being flat, but when his arguments were challenged, his fallback position was that everything that we think we know that proves the Earth is spherical, has been taught to us by people who’ve lied about everything else.
My interaction with Flat Earther came to mind when I decided to address the following question which was asked by one of my (much-beloved) paid subscribers:

Now I have to stress at the outset that if I have a bias on this issue, it would be against the consumption of seed oils. I generally advise against eating any extracted oil or fat, for three main reasons:
- Extracted oils and fats are incredibly calorie-dense foods (9 calories per gram; one metric tablespoon of any oil contains approximately 170 calories) and most people are eating too damn many calories.
- Each chunk of your daily ‘calorie budget’ that you ‘spend’ on extracted fats and oils that are largely empty calories, is a chunk that you can’t spend on foods with more nutrients per calorie, such as vegetables, fruits, legumes and whole grains.
- Extracted fats and oils are mostly eaten as ingredients of ultraprocessed foods which contain a laundry list of problematic ingredients and drive unconscious overeating and weight gain.
All that said, there is actually bugger-all evidence that “seed oils are bad for us”, either when compared head-to-head with other types of fat or when compared to consumption of other macronutrients. However, when I (or anyone else) points this out, by citing large, well-conducted studies on human beings that disprove all the claims made by the “seed oils are bad for us!” crowd, the true believers down in the Comments section always resort to the same accusations: “You’re a shill for Big Seed Oil!” “Who funded that research?” Or my favourite: “That’s epidemiological data so it can’t be trusted” (always said by a person who is more than happy to cite epidemiological data when it supports their opinion). It’s every bit as frustrating as the conversation with Flat Earth dude, and, I suspect, for much the same reason: the anti-‘seed oil’ movement is a cult, just like Flat Earthism is a cult, and the reaction of cultists to any evidence that disproves their beliefs is to double down on them while attacking the integrity of the person who is presenting the evidence.
I fully expect the anti-seed oil cultists to descend on the Comments section of this post in their usual fashion, but in the interests of satisfying Dulcie’s curiosity about this contentious topic, I’ve resigned myself to the inevitability of their attack. So here goes: I’m going to list all the claims the anti-seed oil crowd make about the negative impact of their singular bรชte noire, and the evidence that refutes those claims.
Claim #1: Seed oils are inflammatory
The assertion that seed oils1 cause inflammation in the bodies of people who consume them, is absolutely central to the “seed oils are bad for you” argument. The reasoning behind this claim goes like this: seed oils are rich in the omega-6 fatty acid, linoleic acid, which is metabolised to arachidonic acid (see conversion pathways below), and arachidonic acid is a precursor to proinflammatory compounds called eicosanoids. These pro-inflammatory eicosanoids include prostaglandin E2 (PGE2), leukotriene B4, and thromboxane A2 (TXA2), and they can drive up other biomarkers of inflammation such as interleukin-6 (IL-6), tumor necrosis factor-ฮฑ (TNF-ฮฑ), and C-reactive protein (CRP). And all of these inflammatory markers are in turn associated with increased incidence of chronic illnesses including autoimmune conditions, cardiovascular disease and cancer.
–

Abbreviation used: โ, delta. From ‘The Role of n-3 Long Chain Polyunsaturated Fatty Acids in Cardiovascular Disease Prevention, and Interactions with Statins‘.
That’s a very interesting mechanistic pathway, but is there any evidence that people with a higher intake of omega-6-rich fats have more inflammation? In a word, no.
Review of RCTs on seed oil
A systematic review of fifteen randomised controlled trials examined the effect of adding linoleic acid (remember, that’s the omega-6 fatty acid that anti-seed oil people blame for causing inflammation), on a wide range of inflammatory markers. And by ‘wide range’, I mean a wide range! The full list of inflammatory markers that were assessed in one or more of the included trials was: adiponectin, complement, CRP, cytokines, eicosanoids, E-selectins, fibrinogen, interleukins, lipoprotein-associated phospholipase A2, lipoxins, monocyte chemoattractant protein-1, heparin bound epidermal growth factor, plasminogen activator inhibitor type 1 (PAI-1), platelet-derived growth factor-A, platelet-derived growth factor-B, prostaglandins, resolvins, serum amyloid A protein, soluble CD-40 ligand, soluble IL-6 receptor, soluble intracellular adhesion molecule-1, soluble TNF receptor-1, soluble TNF receptor-2, soluble vascular adhesion molecule, TXA2 , thromboxane B2 (TXB2 ), tissue plasminogen activator/plasminogen activator inhibitor type 1 complexes, transforming growth factor-beta, TNF-ฮฑ, and several eicosanoid metabolites (e.g., 6-oxo-prostaglandin F [PGF]1, 2,3-dinor-6-oxo PGF 1, and 2,3-dinor-TXB2. In other words, no stone was left unturned in the quest to discover whether seed oils caused inflammation. So what did they find?
“None of the studies reported significant findings for a wide variety of inflammatory markers, including C-reactive protein, fibrinogen, plasminogen activator inhibitor type 1, cytokines, soluble vascular adhesion molecules, or tumor necrosis factor-ฮฑ… We conclude that virtually no evidence is available from randomized, controlled intervention studies among healthy, noninfant human beings to show that addition of LA to the diet increases the concentration of inflammatory markers.”
Effect of Dietary Linoleic Acid on Markers of Inflammation in Healthy Persons: A Systematic Review of Randomized Controlled Trials
Allow me to repeat myself, to ensure the message is coming through clearly: Not a single inflammatory marker out of that dirty great long list went up, when participants upped their intake of linoleic acid from the likes of soybean, sunflower and canola oil.
Seed oil vs saturated fat
What happens when saturated fat is compared head-to-head with seed oils? Volunteers with abdominal obesity were randomised to eat either a saturated fat-rich diet (butter) or a diet rich in omega-6 fats from sunflower oil, margarine and sunflower seeds), for ten weeks. Two markers of inflammation (plasma interleukin-1 receptor antagonist [IL-1RA] and soluble TNF receptor-2 [TNF-R2]) were lower on the omega-6 rich diet than the saturated fat-rich diet, and the remainder were unaffected by diet.
Claim #2: Seed oils cause oxidative stress
The omega-6 fats found in seed oils are polyunsaturated, and hence they are prone to lipid peroxidation, or in common parlance, turning rancid. Since every single cell in our bodies is enveloped by a membrane made largely of fats, there’s a longstanding assumption that eating seed oils causes lipid peroxidation in those delicate cell membranes and that this in turn leads to cell damage, atherosclerotic plaque formation, cancer and a host of other maladies. Is this assumption borne out by research in human beings? No.
Lipid peroxidation on a sunflower oil-based diet
When human volunteers were fed two diets for three and a half weeks each – a monounsaturated fatty acid-rich diet (based on rapeseed, more commonly known as canola oil), and a polyunsaturated fatty acid-rich diet (based on sunflower oil) – there was no difference in formation of the lipid peroxidation markers, conjugated dienes and malondialdehyde, compared to the baseline milk fat-based diet. However, the sunflower oil diet reduced the oxidation of LDL-cholesterol. Interestingly, when blood was drawn from the volunteers’ bodies and exposed to oxidising agents, more lipid peroxidation products were formed during the sunflower oil diet period. In other words, the omega-6-rich diet increased in vitro oxidation, but decreased oxidation within living bodies.
Similarly, putting volunteers on a diet high in linoleic acid but low in dietary antioxidants for six weeks, produced no significant difference in markers of lipid peroxidation or LDL susceptibility to oxidation compared to a low linoleic, high antioxidant diet, or to the control group who made no dietary changes.
Oxidative stress biomarkers on a high linoleic diet
Several biomarkers associated with oxidative stress (including whole-body DNA and nucleotide oxidation markers) decreased after six weeks on a diet high in linoleic acid, regardless of whether the intake of antioxidant-rich fruits and vegetables was high or low.
Seed oil vs saturated fat
In the butter vs sunflower oil study discussed above, which was conducted on people with abdominal obesity, there was no difference in levels of any marker of oxidative stress between participants eating the saturated fat-rich diet, and those eating the omega-6-rich diet.
Claim #3: Seed oils cause metabolic dysfunction
The anti-seed oil crowd is obsessed with metabolic dysfunction – that is, the impairment of the body’s ability to process,distribute and make use of fats, carbohydrates and proteins. Metabolic dysfunction presents as impaired glucose tolerance (elevated blood glucose levels, which may eventually develop into type 2 diabetes); insulin resistance; accumulation of fat within the liver, muscles and other organs that are not designed to store large amounts of fat; and excessive accumulation of visceral fat (deep belly fat). Their simplistic answer to the rising tide of metabolic dysfunction is to reduce carbohydrate intake (since carbohydrates are broken down into sugars) and to replace seed oils with saturated fats. Does this work? Let’s look at the evidence.
Seed oil vs saturated fat
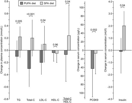
The previously-mentioned seed oil vs butter study was conducted in people with abdominal obesity, which is a hallmark of metabolic dysfunction; in fact, 15 per cent of participants had type 2 diabetes. All participants were instructed to adjust their food intake so as not to lose any weight for the duration of the ten-week study, so that the researchers could isolate the impact of different dietary fat sources on metabolic health, without the confounding factor of weight loss. Compared to participants randomised to increase their intake of good old-fashioned butter, those who increased their omega-6 intake from sunflower oil ended up with:
- Lower fasting insulin (i.e. improved insulin sensitivity) (see Figure 5 below);
- Reduced liver fat despite absence of weight loss, with the reduction in liver fat being directly proportional to the increase in serum levels of linoleic acid (see Figures 3 and 4 below);
- Lower triglycerides, cholesterol, LDL cholesterol, and total cholesterol/HDL-cholesterol ratio (see Figure 5 below); and
- Reduced synthesis of cholesterol by the liver.



But maybe the butter vs sunflower oil study was an aberration? No, sirree.
Safflower oil and metabolic dysfunction
In obese women with diabetes, adding 8 g of safflower oil (a high omega-6 oil) to the diet for 16 weeks decreased haemoglobin A1c (HbA1c – an indicator of average blood glucose level), decreased trunk fat mass by 6.3 per cent, and increased quantitative insulin sensitivity check index (QUICKI), indicating improved insulin sensitivity. By contrast, conjugated linoleic acid (CLA), a fatty acid present in small quantities in ruminant meat and dairy products, did not improve any of the measured metabolic parameters.
RCT of macronutrient swap studies
A systematic review and meta-analysis of randomised controlled feeding trials in which saturated fat (SFA), monounsaturated fat (MUFA), polyunsaturated fat (PUFA), and carbohydrate intake were manipulated concluded that
“In comparison to carbohydrate, SFA, or MUFA, most consistent favourable effects were seen with PUFA, which was linked to improved glycaemia, insulin resistance, and insulin secretion capacity.”
Effects of Saturated Fat, Polyunsaturated Fat, Monounsaturated Fat, and Carbohydrate on Glucose-Insulin Homeostasis: A Systematic Review and Meta-analysis of Randomised Controlled Feeding Trials
And specifically, replacing saturated fat with an equal-calorie amount of polyunsaturated fat significantly lowered fasting glucose, HbA1c, C-peptide, and HOMA – in other words, swapping butter, lard and tallow for those dreaded seed oils improved all these markers of metabolic health.
Claim #4: Seed oils cause cardiovascular disease
I discussed the claim that seed oils cause cardiovascular disease at length in Diving down the low-carb rabbit hole โ Part 1 and Part 2, including a detailed dissection of the impact of dietary fat intake on size and density of lipoprotein particles; suffice it to say that there is zero evidence for this claim and in fact, the weight of evidence is tipped in exactly the opposite direction:
RCTs of replacement of saturated fat with omega-6 fats
A meta-analysis of intervention trials aimed at reducing saturated fat intake, published in 2020 and incorporating results from 15 randomised controlled trials enrolling a total of 56 675 participants, found “a 21% (95% CI 0 to 38%) reduction in cardiovascular events in studies that replaced saturated fats by PUFAs”. Note that the 95 per cent confidence interval includes 0, so it is possible that replacing saturated with polyunsaturated fat intake has no effect on cardiovascular events but at the very least, it is clear that the polyunsaturated fats in seed oils are not causing heart disease.
Blood and tissue omega-6 fats and cardiovascular events
Measuring the levels of fatty acids in people’s bodies is more accurate than attempting to estimate intake based on food diaries or dietary recalls. In a pooled analysis of 30 cohort studies enrolling a total of 68โ659 participants followed up for between 2.5 and 31.9 years,
“Higher in vivo circulating and tissue levels of LA [linoleic acid] and possibly AA [arachidonic acid] were associated with lower risk of major cardiovascular events.”
Biomarkers of Dietary Omega-6 Fatty Acids and Incident Cardiovascular Disease and Mortality: An Individual-Level Pooled Analysis of 30 Cohort Studies
Rates of total cardiovascular disease, cardiovascular mortality, and ischaemic stroke were all significantly lower in people with higher blood and/or tissue levels of linoleic acid; interestingly, those with the highest levels of arachidonic acid had an 8 per cent lower total cardiovascular disease burden compared to those with the lowest levels of this supposedly pro-inflammatory fat.
Claim #5: Seed oils cause cancer
As with the previous claims, the assertion that seed oils cause cancer rests on assumptions of mechanisms; since cancer involves inflammation, oxidative stress and metabolic dysfunction, surely seed oil consumption must increase the risk of cancer. But once again, the evidence from studies conducted in real, live human beings defies the mechanistic predictions.
The UK Biobank study
Analysis of over 250 000 participants in UK Biobank, who were followed up for over ten years, found that plasma levels of omega-6 fats had a small inverse relationship with overall cancer risk – that is, the higher the amount of omega-6 fats circulating in one’s bloodstream, the lower the risk of cancer, although the protection against cancer was quite small (2 per cent reduction in hazard ratio per standard deviation of omega-6 per cent).
Looking at the incidence of particular cancers, 14 out of 19 site-specific cancers – including cancer of the oesophagus, colon, pancreas, ovary, brain and lung, and malignant melanoma – were inversely associated with plasma omega-6 levels. (See figure below; boxes with ‘whiskers’ that are entirely to the left of the vertical line of null effect, indicate that there was a statistically significant reduction in incidence of that type of cancer with a higher plasma level of omega-6 fats.)

What makes this study particularly compelling is that plasma levels of omega-6 are much more accurate and objective markers of intake than self-reported diet, since people are notorious for misremembering, misrepresenting and outright lying about what they eat. (Trust me, I’ve been examining clients’ food journals for 30 years; let’s just say that the average person’s self-reported diet has a somewhat loose connection with reality.)
Meta-analysis of studies on omega-6 and cancer
The UK Biobank study was not an aberration. A 2020 meta-analysis of 70 studies examining the association between intake or blood levels of omega-6 fats and cancer found that there was no association between self-reported intake and cancer, but that high blood levels were associated with an 8 per cent lower risk of all cancers combined, compared to low blood levels. In fact, for every 5 per cent increase in blood levels of total omega-6 fats, there was a 2 per cent lower risk of cancer. And when linoleic acid was analysed separately, every 5 per cent increase in blood levels of this chief constituent of seed oils was associated with a 3 per cent reduction in cancer risk.
Claim #6: Eating seed oils is deadly
Death is, of course, the ultimate outcome of interest. So will eating seed oils put you into an early grave? Doesn’t look like it:
Meta-analysis of studies on omega-6 and cancer
A meta-analysis of 38 studies reporting 44 prospective cohorts, enrolling a total of 811 069 participants with dietary intake assessment and 65 411 participants with biomarker measurements, found that
“Higher LA [linoleic acid] intake, assessed by dietary surveys or biomarkers, was associated with a modestly lower risk of mortality from all causes, CVD, and cancer.”
Dietary intake and biomarkers of linoleic acid and mortality: systematic review and meta-analysis of prospective cohort studies
To put it plainly, people who eat more of the fats found in ‘seed oils’ have a slightly greater chance of living longer overall, and not dying of heart disease or cancer.
In summary, there is simply no evidence from either observational studies that track either intake of seed oils, or blood or tissue levels of the omega-6 fats that they’re high in, or from randomised controlled studies, that seed oil consumption causes inflammation, oxidative stress, metabolic dysfunction, cardiovascular disease, cancer or premature death. If anything, they may offer some protection against these outcomes.
And yes, I’m fully aware that most seeds oils are extracted using chemical solvents, and some of them are produced from genetically modified crops. Yet despite this, they don’t cause inflammation, cancer or any of the other harms that one might expect, given their origins.
It’s kind of a dilemma for me, to be honest with you, because I don’t eat them and I don’t want to eat them, or any of the ultraprocessed foods that contain them – I prefer eating whole foods that naturally contain fats and oils – and yet I can’t deny the fact that there’s no scientific justification for shunning them as if they’re poison.
And so, Dulcie, that is the answer to your question: seeds are indeed good for us, and seed oils are not bad for us. I’m not going to be adding them to my diet anyway, and you don’t have to either if you don’t want to. But at least you can cross this one off your list of things to worry about.
Finally, a note for commenters. As always, I welcome your feedback, but just know that if you post a comment insisting that seed oils are inflammatory, that they cause oxidative stress, or that they’re in any other way harmful, I will ask you to provide evidence from an adequately-powered study conducted in human beings. And no, the opinion of your favourite social media influencer doesn’t count. If you mention the Sydney Diet Heart Study or the Minnesota Coronary Experiment as evidence that seed oils are unhealthy, I will refer you back to Diving down the low-carb rabbit hole โ Part 2, in which I meticulously dissected these studies.
OK, the ground rules are set, so comment away!
Are you confused by the scientific claims and counter-claims that you encounter through popular and social media? Would you like to learn how to read scientific research, assess its biases, and understand how it fits within the body of scientific literature? My EmpowerEd membership program is custom-made for you. Activate your free 1-month trial today!
- The definition of ‘seed oils’ varies between different members of the anti-seed oil movement, but most include the following in this category :
* Canola oil
* Corn oil
* Cottonseed oil
* Flaxseed oil
* Grapeseed oil
* Hemp seed oil
* Rice bran oil
* Safflower oil
* Sesame oil
* Soybean oil
* Sunflower oil โฉ๏ธ



